Fig. 3
From: Characteristics of corneal high-order aberrations in adolescents with mild to moderate myopia

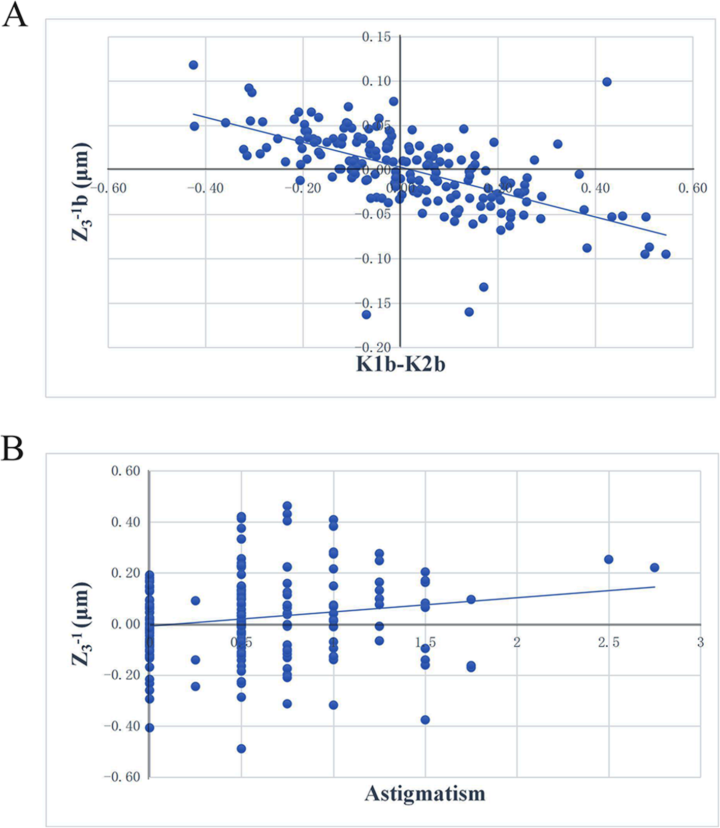
The results of the analysis of the correlation between corneal vertical coma aberration and ocular parameter. a: Scatter diagram of the correlation between vertical coma of the posterior corneal surface and K1b − K2b. b: Scatter diagram of the correlation between vertical coma of the total cornea and astigmatism