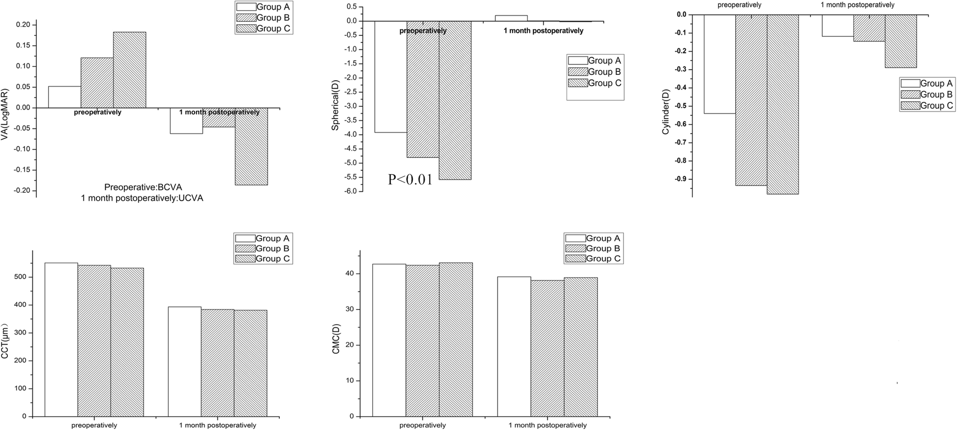
Fig. 1From: Comparison of early visual quality in patients with moderate myopia using different optical zones in small incision lenticule extraction (SMILE)visual acuity (VA), refractive status, corneal mean curvature (CMC) and central corneal thickness (CCT) of three groups before and 1 month after the operationsBack to article page