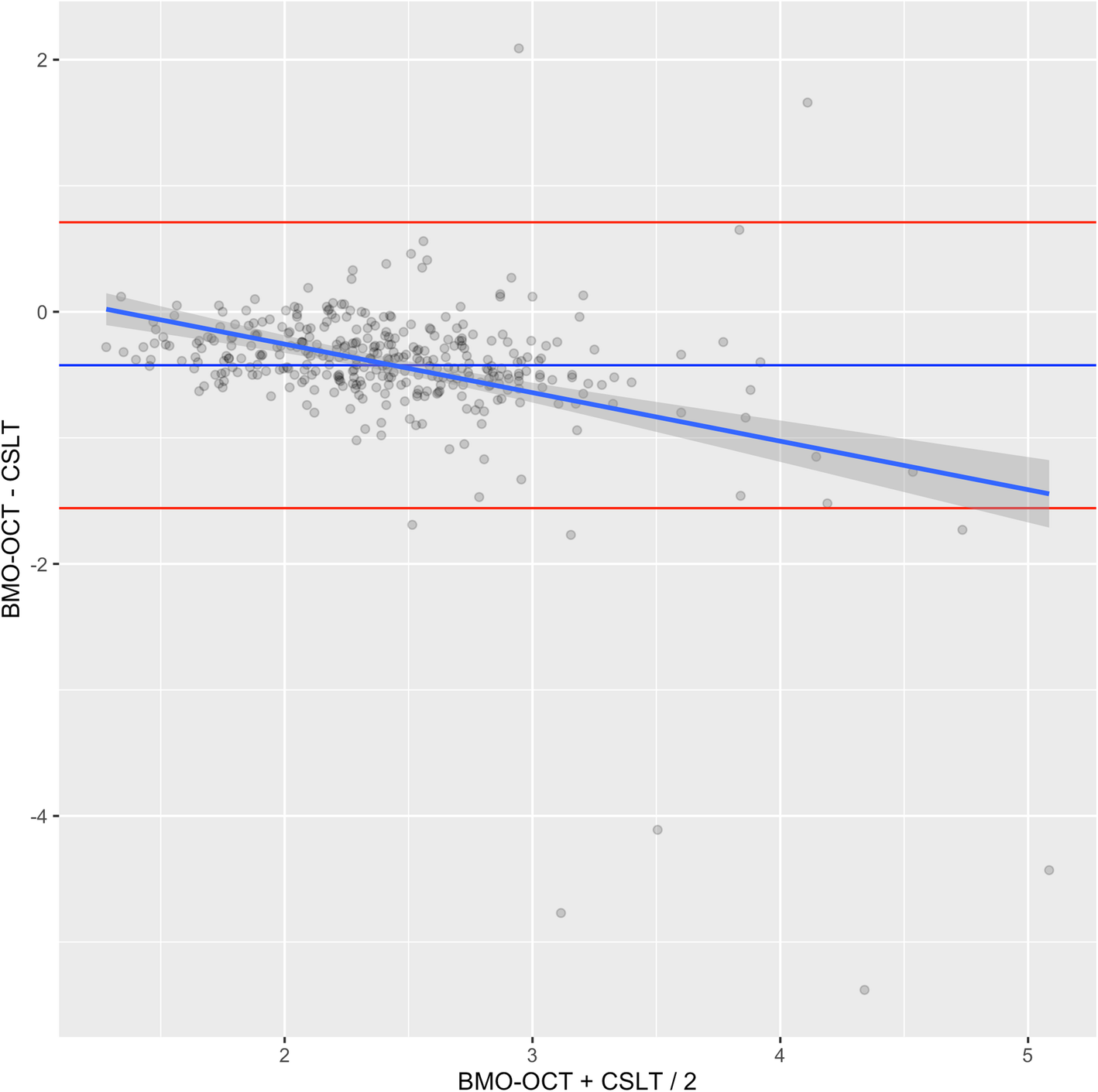
Fig. 3

Bland-Altman-Plot representing the difference between both measurement methods for area (optic disc area by CSLT vs. BMO-area by OCT). The red lines represent the standard deviation of the mean difference between the two methods (horizontal blue line) multiplied by 1.96 in both directions. Darker dots represent multiple data points with the same value. The diagonal blue line represents the line of best fit. The mean of the difference between both groups was − 0.42 with a standard deviation of 0.58)