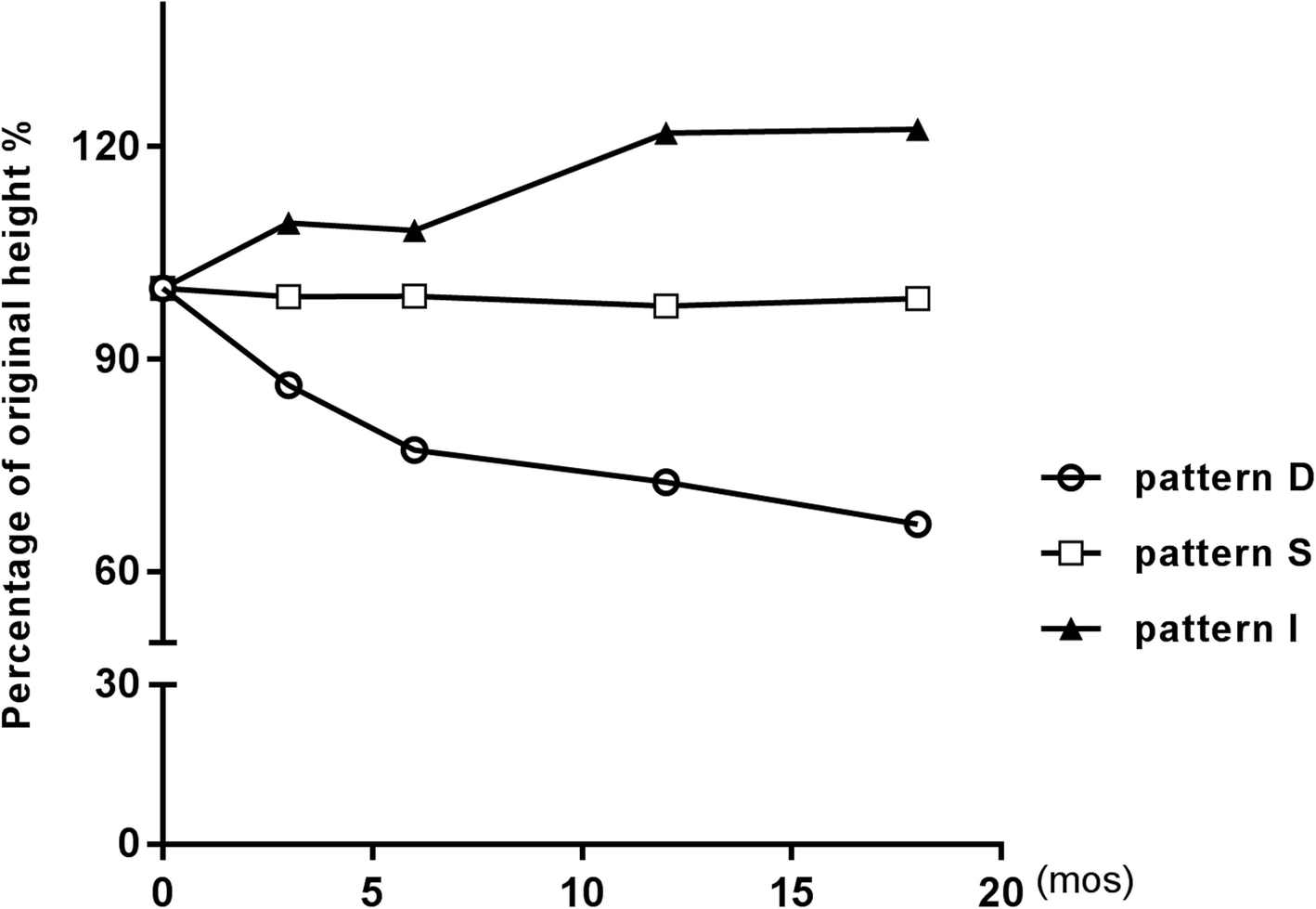
Fig. 4
From: Regression patterns of uveal melanoma after iodine-125 plaque brachytherapy

Graph of mean percent of initial tumor thickness versus duration of follow-up after iodine 125 brachytherapy for patients with uveal melanoma by tumor regression patterns (D vs. S vs. I)